一般財団法人埼玉県民生委員・児童委員協議会(民児協)
広げよう 地域に根ざした 思いやり
MENU
ホーム
埼玉県民児協 所在地
事務局専用ページ
お問い合せ
一般財団法人埼玉県民生委員・児童委員協議会(民児協)
>
事務局専用ページ
>
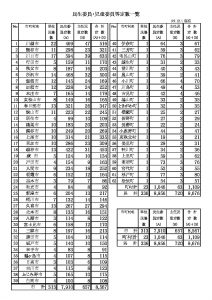
令和7年一斉改選後の各市町村民児協 委員定数
メニュー
ホーム
事務局専用ページトップ
互助事業等 各種様式
調査書手引き
視聴覚教材
会議資料・研修動画
その他
ログアウト
令和7年一斉改選後の各市町村民児協 委員定数
公開日:
2025年12月10日(水曜日)
令和7年一斉改選後の各市町村民児協 委員定数
ホーム
事務局専用ページトップ
互助事業等 各種様式
調査書手引き
視聴覚教材
会議資料・研修動画
その他
ログアウト